Kwalifikacja E23 Eksploatacja instalacji i urządzeń do wytwarzania i przesyłania energii elektrycznej
styczeń 2025
Podsumowanie
0 z 40 pytań ukończone
Pytania:
- 1
- 2
- 3
- 4
- 5
- 6
- 7
- 8
- 9
- 10
- 11
- 12
- 13
- 14
- 15
- 16
- 17
- 18
- 19
- 20
- 21
- 22
- 23
- 24
- 25
- 26
- 27
- 28
- 29
- 30
- 31
- 32
- 33
- 34
- 35
- 36
- 37
- 38
- 39
- 40
Informacja
Rozwiąż test ponownie.
Już ukończyłeś quiz. Nie możesz rozpocząć jeszcze raz.
Zaczynamy... Zaczekaj na załadowanie się testu.
Musisz się zalogować, aby rozpocząć quiz.
Musisz ukończyć następujący quiz, aby rozpocząć ten:
Wyniki
udzielono odpowiedzi dobrze na 0 z 40
Twój czas:
Czas się skończył
Zdobyłeś 0 z 0 punktów, (0)
Kategorie
- Nieskategoryzowany 0%
- 1
- 2
- 3
- 4
- 5
- 6
- 7
- 8
- 9
- 10
- 11
- 12
- 13
- 14
- 15
- 16
- 17
- 18
- 19
- 20
- 21
- 22
- 23
- 24
- 25
- 26
- 27
- 28
- 29
- 30
- 31
- 32
- 33
- 34
- 35
- 36
- 37
- 38
- 39
- 40
- Udzielono odpowiedzi
- Do sprawdzenia
-
Pytanie 1 z 40
1. Pytanie
Który transformator przedstawiono na ilustracji?
Poprawnie
Niepoprawnie
-
Pytanie 2 z 40
2. Pytanie
Ile par biegunów powinien posiadać generator synchroniczny wytwarzający energię elektryczną o częstotliwości 50 Hz przy prędkości obrotowej wirnika 1 500 obr./min?
Poprawnie
Niepoprawnie
-
Pytanie 3 z 40
3. Pytanie
Który z symboli graficznych przedstawia turbinę parową upustowo-kondensacyjną?
Poprawnie
Niepoprawnie
-
Pytanie 4 z 40
4. Pytanie
Który element transformatora zaznaczono symbolem X na przedstawionej ilustracji?
Poprawnie
Niepoprawnie
-
Pytanie 5 z 40
5. Pytanie
Na przedstawionym schemacie budowy i zasady działania turbiny Francisa literą B oznaczono
Poprawnie
Niepoprawnie
-
Pytanie 6 z 40
6. Pytanie
Na ilustracji przekroju generatora synchronicznego pierścienie ślizgowe oznaczono
Poprawnie
Niepoprawnie
-
Pytanie 7 z 40
7. Pytanie
Której maszyny elektrycznej dotyczy opis w ramce?
Poprawnie
Niepoprawnie
-
Pytanie 8 z 40
8. Pytanie
W której turbinie odbywa się przekazywanie energii kinetycznej przepływających spalin wirnikowi, na wale którego znajduje się także dostarczająca powietrze sprężarka?
Poprawnie
Niepoprawnie
-
Pytanie 9 z 40
9. Pytanie
Którym skrótem literowym opisuje się automatykę odwzbudzenia generatora?
Poprawnie
Niepoprawnie
-
Pytanie 10 z 40
10. Pytanie
Symbol którego urządzenia zabezpieczającego linii elektroenergetycznej przedstawia ilustracja?
Poprawnie
Niepoprawnie
-
Pytanie 11 z 40
11. Pytanie
Który termometr należy dobrać jako zabezpieczenie termometryczne do transformatora o mocy Sn = 8 MVA?
Poprawnie
Niepoprawnie
-
Pytanie 12 z 40
12. Pytanie
Który schemat przedstawia układ do pomiaru rezystancji metodą techniczną z poprawnie mierzonym prądem?
Poprawnie
Niepoprawnie
-
Pytanie 13 z 40
13. Pytanie
Którego miernika należy użyć do pomiaru częstotliwości w sieciach elektrycznych?
Poprawnie
Niepoprawnie
-
Pytanie 14 z 40
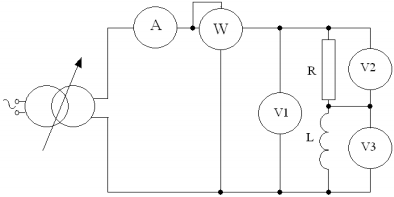
14. Pytanie
Ile wyniesie wartość napięcia wskazywanego przez woltomierz V1 w obwodzie przedstawionym na schemacie, jeśli woltomierz V2 wskazuje 30 V, a woltomierz V3 wskazuje 40 V?
Poprawnie
Niepoprawnie
-
Pytanie 15 z 40
15. Pytanie
W którym momencie należy przeprowadzić dwukrotny pomiar rezystancji głównej obwodu wzbudzenia generatora przy planowanym 10 dniowym postoju?
Poprawnie
Niepoprawnie
-
Pytanie 16 z 40
16. Pytanie
Korzystając z informacji zawartych w tabeli, wskaż ile wynosi maksymalna podwójna amplituda drgań mierzonych na pokrywach łożysk prądnicy przy znamionowej prędkości obrotowej 600 obr./min, jeżeli amplitudy drgań w eksploatacji mierzone są w sposób ciągły na wale prądnicy.
Poprawnie
Niepoprawnie
-
Pytanie 17 z 40
17. Pytanie
Korzystając z informacji zawartych w tabeli wskaż, jedną z przyczyn przegrzania się rdzenia twornika generatora.
Poprawnie
Niepoprawnie
-
Pytanie 18 z 40
18. Pytanie
Przedstawione zdjęcie termowizyjne transformatora wskazuje na
Poprawnie
Niepoprawnie
-
Pytanie 19 z 40
19. Pytanie
Narzędzie przedstawione na ilustracji przeznaczone jest do
Poprawnie
Niepoprawnie
-
Pytanie 20 z 40
20. Pytanie
Z informacji zawartych w tabeli wynika, że rezystancja izolacji głównej obwodu wzbudzenia w prądnicach o mocy 60 MVA będących w ruchu, powinna być kontrolowana

* zdający otrzymuje jeden punkt niezależnie od udzielonej odpowiedzi.
Poprawnie
Niepoprawnie
-
Pytanie 21 z 40
21. Pytanie
Z informacji zawartych w tabeli wynika, że rezystancja izolacji głównej obwodu wzbudzenia prądnicy mierzona w temperaturze 15ºC nie powinna być mniejsza od
Poprawnie
Niepoprawnie
-
Pytanie 22 z 40
22. Pytanie
Z informacji zawartych w tabeli wynika, że jeżeli generator nie posiada odpowiednich zabezpieczeń należy go wyłączyć gdy
Poprawnie
Niepoprawnie
-
Pytanie 23 z 40
23. Pytanie
Który układ sieci elektroenergetycznej przedstawia schemat?
Poprawnie
Niepoprawnie
-
Pytanie 24 z 40
24. Pytanie
Ilustracja przedstawia
Poprawnie
Niepoprawnie
-
Pytanie 25 z 40
25. Pytanie
Na schemacie rozdzielnicy SN symbolem X oznaczono pole
Poprawnie
Niepoprawnie
-
Pytanie 26 z 40
26. Pytanie
Ile wynosi maksymalna zwarciowa siła naciągu w przęśle krótkim przy prądzie zwarcia Ik“= 50 kA?
Poprawnie
Niepoprawnie
-
Pytanie 27 z 40
27. Pytanie
Ile wynosi obciążalność długotrwała kabla 3×120 mm2 o napięciu znamionowym 18/30 kV, ułożonym w ziemi?

Przy czym:
U0 – dopuszczalna wartość skuteczna napięcia pomiędzy żyłą a ziemią lub ekranem,
U – dopuszczalna wartość skuteczna napięcia między poszczególnymi żyłami.Poprawnie
Niepoprawnie
-
Pytanie 28 z 40
28. Pytanie
Na której ilustracji przedstawiony jest symbol graficzny przekaźnika zabezpieczającego przed przeciążeniem cieplnym?
Poprawnie
Niepoprawnie
-
Pytanie 29 z 40
29. Pytanie
Którym symbolem literowym oznacza się automatykę zabezpieczeniową podnapięciową odciążającą?
Poprawnie
Niepoprawnie
-
Pytanie 30 z 40
30. Pytanie
Ilustracja przedstawia odgromnik
Poprawnie
Niepoprawnie
-
Pytanie 31 z 40
31. Pytanie
Który z elementów należy zamontować w rozdzielni w miejscu oznaczonym czerwonym prostokątem, aby umożliwić poprawne działanie automatyki SZR?
Poprawnie
Niepoprawnie
-
Pytanie 32 z 40
32. Pytanie
Jak często należy wykonywać oględziny linii napowietrznej o napięciu znamionowym 110 kV?
Poprawnie
Niepoprawnie
-
Pytanie 33 z 40
33. Pytanie
Ile powinna wynosić minimalna częstość wykonywania pomiarów napięć i obciążeń linii kablowej o napięciu 15 kV, zgodnie z przedstawioną instrukcją?
Poprawnie
Niepoprawnie
-
Pytanie 34 z 40
34. Pytanie
Którego miernika należy użyć do pomiaru upływu prądu przemiennego kabla energetycznego?
Poprawnie
Niepoprawnie
-
Pytanie 35 z 40
35. Pytanie
Na ilustracji przedstawiony jest pomiar
Poprawnie
Niepoprawnie
-
Pytanie 36 z 40
36. Pytanie
Dobierz najmniejszy zakres pomiarowy amperomierza do pomiaru prądu 60 A w układzie pośrednim z przekładnikiem prądowym o przekładni 100/5.
Poprawnie
Niepoprawnie
-
Pytanie 37 z 40
37. Pytanie
Na podstawie danych z tabeli oblicz o ile procent należy zredukować obciążenie transformatora, jeżeli został on zaprojektowany do pracy w temperaturze otoczenia 40°C, a faktyczna temperatura otoczenia wynosi 55°C?
Poprawnie
Niepoprawnie
-
Pytanie 38 z 40
38. Pytanie
Jaką temperaturę przekroczył transformator o mocy Sn = 20 MVA, jeżeli zadziałała sygnalizacja I stopnia zabezpieczenia termometrycznego?
Poprawnie
Niepoprawnie
-
Pytanie 39 z 40
39. Pytanie
Ilustracja przedstawia
Poprawnie
Niepoprawnie
-
Pytanie 40 z 40
40. Pytanie
Jaką wartość prądu zapewniającego samoczynne wyłączenie zasilania należy wpisać do protokołu pomiarów dla wyłącznika nadprądowego S303 D63?
Poprawnie
Niepoprawnie